在 WEB3 中,最常见最基本的操作就是交易,我们经常需要将我们手中的某一种币换成另一种币,这看似平常的操作,其中涉及到的知识其实非常广,这里我们只讨论其中一个问题,我在兑换时候的币价是如何确定的。

按照马克思经济学的角度来看这个问题,价格是随着供需变化而变化的,供大于需时价格就会下降,供小于需时价格就会上升,那么问题就变成了,如何在 WEB3 中反应这种供需的关系,进而确定价格。

订单簿

最常见最广泛应用的是订单簿,比如 Hyperliquid 的 DEX 就是使用的订单簿的形式。在订单簿的模式下,用户的买和卖都是通过挂单的方式进行交易的,即双方都设定好自己希望成交的价格,然后交易所根据大家的定价进行撮和交易。

这种方式的交易,一个显著的优势在于,你可以挂单进行交易,而不需要时时刻刻盯盘。

价格曲线

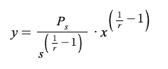
价格曲线也是在 WEB3 中被经常使用的一种定价方式,他的优势是原理非常简单。价格曲线一般采用 Bonding Curve,公式如下:

在公式里面我们可以看到,x 代表了当前已经出售的币的数量,y 代表当前的价格。曲线受三个参数影响,所以不同项目设置的价格曲线也有可能是不一样的。

优势如下:

  • 提供流动性:Bonding Curve 为新发行的代币提供了一种内置的买卖机制,无需依赖传统的交易所,从而提高了这些代币的流动性和市场接受度。
  • 透明性:由于价格调整完全基于公开的算法,所有参与者都能清楚了解交易如何影响价格,这增加了系统的透明度和可预测性。
  • 自动化与效率:减少了对中间商的需求,使得交易过程更加高效,并降低了相关的成本和复杂性。
  • 早期融资工具:对于新的项目而言,Bonding Curve 可以作为一种有效的早期融资工具,因为它允许开发者在没有外部投资者的情况下筹集资金。

因此一些初创的项目一开始一般会乐意采用这个方案。